计算机图形学笔记二:MVP变换
计算机图形学自学笔记之MVP变换
视图变换
1.模型变换(Model Transformtion)
是指变换被照物体的位置,角度。即上一节的内容。
目的:是将游戏场景中的物体调整至他们应该在的位置。
简单通俗来讲,就是将场景中的模型摆好,这个过程就叫模型变换。模型变换不同顺序有不同的结果,其实就是因为矩阵相乘不满足交换律,但满足结合律,所以对应同一个复合变换,可以先得出其中的基础变换的矩阵乘积,再与输入向量相乘。一般地,先进行线性变换,再进行非线性变换。
2.视图变换(View Transformation)
也可称为摄像机变换(Camera Tranformation),对于一个三维空间场景(二维亦如此),最终呈现在显示设备上的都是一个二维的平面视图,所以在放置好(模型变换)场景中的模型后,需要找一个合适的角度,让摄像机或者说人眼,看向场景中的被放置好的模型,这个找角度的过程,就叫视图变换。
目的:是得到所有可视物体与摄像机的相对位置。为投影变换做准备。
摄像机定义:视图变换需要对摄像机生成的视图有一个唯一的定义,摄像机定义包含三个要素:
① 位置(Position):用向量 e ⃗ \vec{e} e 表示:显然,一个物体在空间中,肯定是需要一个坐标的;
② 朝向(Look-at):用向量 g ^ \hat{g} g^ 表示:有了位置后,摄像机不同的拍摄角度会生成不同的视图,所以还要定义一个朝向;
③ 向上的方向(Up direction):用向量 t ^ \hat{t} t^ 表示:即摄像机永远的头的正上方。固定好位置与朝向之后,摄像机还是可以360°旋转的,不同的旋转角也会生成不同的视图,所以还需要定义一个向上的方向来描述摄像机的旋转。
变换方法:
大致思路:将物体和摄像机一起移动,将摄像机的坐标轴移动到x,y,z轴,而物体坐标也作相应的移动。(假设摄像机坐标轴为u,v,w 分别对应原世界空间中的x,y,z)
Step1:将相机位置移动至原点(减去相机位置坐标 e ⃗ \vec{e} e )
Step2:通过旋转矩阵将二者坐标系重合(用上一节基础变换的方法——旋转矩阵的逆=转置)
常规步骤:
1.将摄像机位置坐标 e ⃗ \vec{e} e 移动到原点
2.将 g ^ \hat{g} g^旋转到-Z
3.将 t ^ \hat{t} t^旋转到Y
4.将 ( g × t ) (g \times t) (g×t)旋转到X
改进后:
1.将摄像机位置坐标 e ⃗ \vec{e} e 移动到原点
2.由任意位置转换到标准位置改成由标准位置转化为任意位置
3.对求出的矩阵求逆矩阵
4. M v i e w = R v i e w T v i e w M_{view}=R_{view}T_{view} Mview=RviewTview (顺序不可调换)
第一步:平移矩阵
第二步:旋转矩阵

第三步:求矩阵的逆
旋转矩阵是正交矩阵,所以求矩阵的逆就相当于求该矩阵的转置。
第四步:代入公式计算 M v i e w = R v i e w T v i e w M_{view}=R_{view}T_{view} Mview=RviewTview (顺序不可调换)
3.投影变换(Project Transformation)
简单来说就是:3D转2D
3.1正交投影(Orthographic projection)
概念表示: 正交投影的投影中心到投影面之间的距离是无限远的,当投影中心距离投影面无限远的时候,两个具有前后位置关系的模型看起来大小也是一致的。
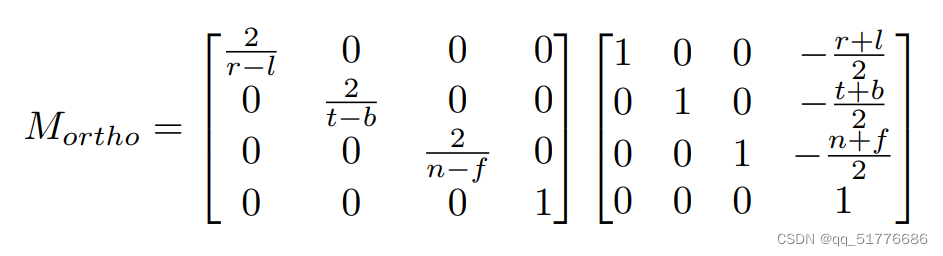
数学表示: 正交投影就是摄像机在原点,看向-z方向,顶部在y方向,在看向物体时将所有物体的z值归0,然后将物体平移并缩放到 [ − 1 , 1 ] 2 [-1,1]^2 [−1,1]2之间。
正交投影的做法就是把物体移到原点处的 [ − 1 , 1 ] 3 [-1,1]^3 [−1,1]3的标准立方体中。
在变换前,先定义所有模型所在空间的描述:f,n—远/近裁剪平面(Z轴坐标范围)、t,b—上下平面(Y轴坐标范围)、l,r—左右平面(X轴坐标范围)。
变换步骤:
1.将模型中心点平移到原点
2.进行缩放,将模型缩放到 [ − 1 , 1 ] 3 [-1,1]^3 [−1,1]3的标准立方体中
3.缩放矩阵 × \times ×平移矩阵
第一步:平移

注:平移矩阵中的这三个平移量得出的原因是因为要将中心平移到原点,所以要取每个轴的中心坐标,平移量为负的原因是将任意一个点平移到原点都是负的平移量。
第二步:缩放

注:缩放矩阵中的这三个缩放量得出的原因是用的 [ − 1 , 1 ] [-1,1] [−1,1]的标准长度除以物体的每个轴所对应的长度,得到的缩放量。
第三步:相乘
3.2透视投影(Perspective projection)
概念表示: 透视投影的投影中心到投影面之间的距离是有限的,产生了“近大远小”的效果,更符合人眼的成像。欧式几何中规定平行线永不相交,而在透视投影中,平行线会在视觉的“远”处相交。
变换步骤:
1.先将透视投影的几何体“挤”成正交投影的长方体
2.运用解决正交投影变换的方法来解决
第一步:挤
从截面观察各点的变化情况:(结合三角形相似性质)
由此可得出:
最终远平面“挤压”结果在齐次坐标中:
注:乘以z值之后得到的结果仍相同的原因:因为在齐次坐标中,各个维度乘以相同的值得到点和原来一样。
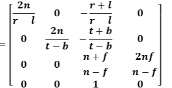
综上所述,可得透视投影“挤压”成正交矩阵的结果为:
由于已经知道了三行的值,所以可以逆推出透视变正交矩阵的三行的值:
推第三行的值:
运用透视投影的性质:
- 近平面上的点坐标不变
- 远平面上的点Z轴坐标不变
注:注意近平面和远平面之间的点Z轴坐标还是会变的
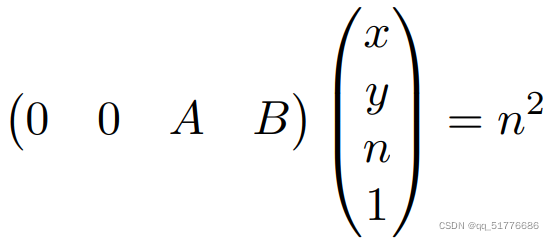
在近平面上:
因为近平面投影后还是自身,即坐标不变,所以如果在近平面上一点 (x, y, n, 1),与上图的矩阵相乘后,必然会得到 (nx, ny, n², n),故由 n² 可看出上图中矩阵的第三行 Z 轴的变换与 X,Y 轴无关:
算第三行的大概值:
由上图可得:

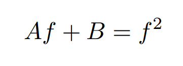
在远平面上:
由这两个性质可得,在远平面上的一点 (x, y, f, 1) ,与上图得到的含A、B的矩阵相乘后,必得 (nx, ny, f², f),可以得出关于变量 A,B 的关系式,由此可解得四棱台“挤压”到长方体的矩阵:
将远平面上的一点 (x, y, f, 1) 代入:
由上图可得:
由:
A n + B = n 2 An+B=n^2 An+B=n2
A f + B = f 2 Af+B=f^2 Af+B=f2
解得:
A = n + f A=n+f A=n+f
B = − n f B=-nf B=−nf
代入得:
第二步:进行正交投影变换(先平移再缩放)
M p e r s p = M o r t h o M p e r s p → o r t h o M_{persp}=M_{ortho}M_{persp→ortho} Mpersp=MorthoMpersp→ortho

4.视口变换(ViewPort Transformation)
概念表示: 在我们做完投影变换后所有物体都映射在标准坐标系中,但是屏幕会有各种各样的分辨率,所以视口变换是为了将正常设备坐标映射到屏幕坐标。
假设屏幕的宽为width,高度为height,那么视口变换就是把 [ − 1 , 1 ] 2 [-1,1]^2 [−1,1]2的xy平面变到 [ 0 , w i d t h ] × [ 0 , h e i g h t ] [0,width]\times[0,height] [0,width]×[0,height]。
注:不考虑Z轴的原因,因为z轴在之后的其他地方有用。
更多推荐


所有评论(0)