基于微服务架构的家政服务系统的设计与实现 计算机毕业设计源码88975
本系统采用微服务架构,将主要功能划分为用户管理、服务管理、订单处理和支付系统等多个独立模块。每个模块都可以独立开发、部署和维护,确保系统的可扩展性和高可用性。通过RESTful API进行模块间的通信,增强了系统的灵活性和可维护性。在用户管理模块中,系统提供用户注册、登录、信息修改等功能,确保用户信息的安全和隐私。在服务管理模块中,家政服务提供者可以发布服务,用户可以浏览和选择所需的服务。在订单处
摘 要
随着社会生活节奏的加快和人们对家政服务需求的不断增加,基于微服务架构的家政服务系统应运而生。本系统旨在通过微服务的设计理念,将家政服务各个环节进行模块化,实现服务的灵活扩展和高效管理。
本系统采用微服务架构,将主要功能划分为用户管理、服务管理、订单处理和支付系统等多个独立模块。每个模块都可以独立开发、部署和维护,确保系统的可扩展性和高可用性。通过RESTful API进行模块间的通信,增强了系统的灵活性和可维护性。
在用户管理模块中,系统提供用户注册、登录、信息修改等功能,确保用户信息的安全和隐私。在服务管理模块中,家政服务提供者可以发布服务,用户可以浏览和选择所需的服务。在订单处理模块中,用户可以下单、取消订单,并实时查询订单状态。支付系统则集成第三方支付接口,方便用户完成交易。
本系统通过微服务架构的设计,提高了家政服务的效率与用户体验,为家政行业的数字化转型提供了有力支持。最终,系统的实施将促进家政服务市场的规范化和透明化,满足用户日益增长的服务需求[4]。
关键词:家政服务系统;微服务架构;数字化转型
Abstract
With the acceleration of social life pace and the continuous increase in people's demand for domestic services, a domestic service system based on microservice architecture has emerged. This system aims to modularize various aspects of home service through the design concept of microservices, achieving flexible expansion and efficient management of services.
This system adopts a microservice architecture, dividing its main functions into multiple independent modules such as user management, service management, order processing, and payment system. Each module can be independently developed, deployed, and maintained to ensure the scalability and high availability of the system. The communication between modules through RESTful API enhances the flexibility and maintainability of the system.
In the user management module, the system provides functions such as user registration, login, and information modification to ensure the security and privacy of user information. In the service management module, home service providers can publish services, and users can browse and select the required services. In the order processing module, users can place orders, cancel orders, and check order status in real-time. The payment system integrates third-party payment interfaces to facilitate users in completing transactions.
This system has improved the efficiency and user experience of home service through the design of microservice architecture, providing strong support for the digital transformation of the home service industry. Ultimately, the implementation of the system will promote the standardization and transparency of the domestic service market, meeting the growing service demands of users.
Keywords: Home service system; Microservice architecture; Digital transformation
1 前 言
1.1 研究背景和意义
1.2 国内外研究现状
1.3 论文结构与章节安排
2 关键技术
2.1 Java
2.2 MySQL
2.3 Spring Boot框架
2.4 B/S模式
3 系统分析
3.1 可行性分析
3.1.1 技术可行性
3.1.2 经济可行性
3.1.3 操作可行性
3.2 功能需求分析
3.3 系统性能分析
3.4 系统流程分析
4 系统设计
4.1 系统架构设计
4.2 功能模块设计
4.3 数据库设计
4.3.1 E-R图
4.3.2 数据库表结构设计
5 系统实现
5.1 普通用户模块
5.1.1 用户登录界面
5.1.2 用户注册界面
5.1.3 家政资讯界面
5.1.4 家政服务界面
5.2 服务人员模块
5.2.1 家政服务界面
5.2.2 服务订单界面
5.3 后台管理员模块
5.3.1 系统用户界面
5.3.2 服务类型管理界面
5.3.3 家政服务管理界面
5.3.4 系统管理界面
5.3.5 网站公告管理界面
6 系统测试
6.1 系统测试的目的
6.2 系统测试用例
6.3 系统测试结果
结束语
参考文献
致 谢
随着社会经济的发展和城市化进程的加快,越来越多的家庭对专业化、标准化的家政服务需求激增。与此同时,互联网技术的迅猛发展和数字化经济的崛起,使得传统的家政服务行业面临巨大的转型压力。传统的家政服务行业主要依靠手工管理,缺乏系统化的信息化管理手段,存在着信息分散、服务效率低、用户体验差等问题,无法满足当代用户对家政服务质量和效率的更高要求[8]。
基于此背景,采用微服务架构来设计并实现家政服务系统成为一种创新性解决方案。借助Java、Spring Boot和Spring Cloud等成熟的技术框架,可以更好地应对系统的高并发需求,优化服务预约、人员管理、服务进度追踪等功能。这一系统的开发不仅推动了家政行业的信息化转型,还能够提升家政服务的整体运营效率和用户满意度[9]。
家政服务系统系统的研究不仅有助于提升家政行业的服务水平和管理效率,也为行业的数字化转型提供了支持。通过有效的数据管理和分析,系统能够帮助企业了解市场需求,调整服务策略,增强竞争力。最终,这一系统的实施将有助于推动整个家政服务行业的规范化和标准化,提升用户的满意度,促进社会和谐发展。家政服务系统系统的研究与实现具有重要的理论价值和实际意义,为相关领域的研究提供了新的视角和思路[14]。
在家政服务行业的数字化发展方面,国内外已有部分企业和研究机构开展了相关探索。国外较早开始对家政服务的线上化和平台化进行研究和应用,其家政平台通过移动应用和平台化运营,提供在线预约、订单管理、客户评价等服务。
国内方面,近年来随着互联网技术的发展,家政服务平台逐渐增多,如58到家、阿姨来了等平台已逐步实现了在线预约、人员管理、服务评价等功能,并取得一定成效。国内多数平台仍采用传统的单体架构,在高并发处理和系统扩展性方面存在瓶颈,同时系统难以实现个性化的模块扩展和分布式管理,影响了家政服务的实时性和服务质量。
当前,微服务架构逐渐被应用于家政服务系统的研究和开发中,部分技术研究开始探讨如何基于微服务架构构建高并发、易扩展的家政管理系统。通过微服务架构,可以将服务预约、人员分配、进度管理等核心模块分离,显著提高系统的灵活性和可维护性,为家政服务的智能化管理提供新的技术支持[16]。
本文共分为六章,章节内容安排如下:
第一章:前言,主要介绍家政服务系统系统领域研究的背景和意义,概述国内外研究的现状。
第二章:关键技术,主要探讨和说明实现家政服务系统系统的关键技术。
第三章:系统分析,主要从家政服务系统系统的可行性、功能、性能等方面进行分析,为后续系统设计提供理论支持。
第四章:系统设计,主要对家政服务系统系统功能模块、数据库进行功能设计。
第五章:系统实现,主要介绍了家政服务系统系统的功能、系统界面的实现。
第六章:系统测试,主要对家政服务系统系统进行测试,验证功能完整性、稳定性和安全性,评估系统在实际运行中的性能表现。
结束语。总结全文研究内容,提出对家政服务系统系统领域未来发展的展望和建议,指出研究的不足和可优化之处,为相关领域的进一步探索提供参考。
Java是一种跨平台的编程语言,广泛用于开发各种类型的应用程序,包括Web应用、移动应用和大型软件系统。在家政服务系统系统中,Java通常用于后端开发,提供强大的处理能力和稳定性。同时Java是一种面向对象的编程语言,支持封装、继承和多态等特性,使代码更易于维护和重用。还拥有丰富的标准库和第三方框架,如Spring、Hibernate等,可以大大提高开发效率。
MySQL是一种流行的开源关系型数据库管理系统,用于存储和管理数据。在家政服务系统系统中,MySQL可以用于数据存储、数据查询和数据管理等方面,用户可以免费使用和修改源代码,为平台提供可靠和高性能的数据库支持。MySQL支持多种存储引擎,如InnoDB和MyISAM,可以根据不同的应用场景选择合适的存储引擎,以提高性能;提供了多种数据安全机制,如用户权限管理、数据加密和备份恢复等,确保数据的安全性。
Spring Boot是一个用于构建微服务的Java框架,简化了Spring应用程序的开发和部署过程。Spring Boot通过自动配置和约定优于配置的理念,简化了Spring应用程序的开发过程,使开发者可以更快地构建和部署应用程序;拥有丰富的生态系统,如Spring Cloud、Spring Security等,可以满足各种企业级应用的需求。在家政服务系统系统中,Spring Boot可以快速搭建后端服务,并实现各种功能模块的集成和管理。
B/S模式,即浏览器/服务器模式,是一种常见的网络应用架构模式。在B/S模式中,用户通过浏览器作为客户端与服务器进行交互。在浏览器/服务器(browser / Server Architecture)系统中,用户只需通过浏览器,就能够轻松地向分布在网络各处的众多服务器发送海量的请求。B/S系统大大地简化了客户端的工作,让用户体验更加便捷。
从技术角度来看,Spring Boot作为一种轻量级、快速构建的Java框架,能够提高开发效率,降低系统的复杂程度,易于维护和升级。同时,MySQL作为关系型数据库,能够支持平台数据的存储与管理,保障系统的稳定性和高效性。因此,本系统具有技术可行性。
考虑到Springboot、Vue、MyBatis Plus及MySQL等均为开源技术,无需支付高昂的许可费用,大大降低了系统的开发成本。同时,这些技术拥有广泛的用户群体和成熟的社区支持,便于获取技术支持和资源共享。此外,系统的实施将显著提升用户体验,从而带来潜在的经济效益。因此,从经济角度来看,该系统的开发同样具备可行性[19]。
系统设计应遵循用户友好原则,确保用户能够轻松上手并高效使用。通过合理的界面布局、直观的操作流程以及详尽的帮助文档,可以大大降低用户的学习成本,提高系统的操作可行性。此外,系统还应具备完善的权限管理和数据安全机制,确保操作的安全性和合规性。
从技术、经济知操作三个维度来看,家政服务系统系统的开发均具备高度的可行性。
(一)普通用户角色用例如下图所示。
-
-
-
-
-
- 普通用户用例图
-
-
-
-
普通用户具体功能说明如下所示。
首页:普通用户登录后可访问系统的首页,首页展示系统的主要功能入口、推荐的家政服务、最新的网站公告和家政资讯,便于用户快速找到所需信息。
网站公告:用户可以查看系统发布的通知和公告,包括活动信息、服务变更、节假日安排等,确保用户及时了解相关信息。
家政资讯:提供最新的家政行业资讯和相关知识,用户可以浏览、阅读和分享这些资讯,帮助用户更好地了解家政服务。
家政服务:普通用户可以查看系统中提供的各种家政家政服务,包括详细的服务内容、价格、时长等信息,帮助用户根据自身需求选择合适的服务。
我的账户:用户可以在此模块中查看和管理自己的账户信息,包括个人资料、联系方式、密码修改等,确保账户的安全性和准确性。
个人中心:个人中心是用户管理个人信息和服务的主要入口,包含以下子模块:
个人首页:展示用户的基本信息、服务历史及重要通知,提供个性化的用户体验。
预约订单:用户可以浏览可用的家政家政服务并进行预约,选择合适的时间和服务人员,系统会提供实时的预约确认。
收藏:用户可以将感兴趣的家政服务或资讯进行收藏,方便日后查看和预约。
订单取消:用户可以查看自己的预约记录,并对不再需要的预约进行取消操作,系统会自动更新服务人员的安排。
服务评价:用户可以查看自己对服务的评价记录,编辑或删除不满意的评价,确保评价的准确性。
服务订单:用户可以查看自己预约的服务人员信息,了解服务人员的背景和服务评价,提升服务的透明度;实时查看自己订单的状态,包括待确认、进行中、已完成等,方便用户掌握服务进展。
评价管理:用户可以查看自己对已完成服务的评价,并对服务进行打分和反馈,帮助其他用户选择服务。
(二)服务人员角色用例如下图所示。
-
-
-
-
-
- 服务人员用例图
-
-
-
-
服务人员具体功能说明如下所示。
首页:服务人员登录后进入系统首页,展示系统的主要功能入口、最新的网站公告、家政服务推荐以及用户的工作状态,帮助用户快速了解当前的工作信息。
网站公告:服务人员可以查看系统发布的通知和公告,包括培训信息、活动安排、服务标准更新等,确保服务人员及时获取重要信息。
家政资讯:提供与家政行业相关的最新资讯和知识,服务人员可以浏览和学习,提高自身的专业素养和服务质量。
家政服务:服务人员可以查看系统中提供的各类家政服务,了解服务内容、价格、时长等信息,便于在接单时做出合理的选择。
我的账户:服务人员可以管理自己的账户信息,包括个人资料、联系方式、密码修改等,确保账户信息的安全和准确。
个人中心:个人中心是服务人员管理个人信息和工作记录的主要入口,包含以下子模块:
个人首页:展示服务人员的基本信息、服务记录和重要通知,提供个性化的工作体验。
家政服务:服务人员可以查看自己被分配的服务订单,了解客户需求和服务时间,确保服务的及时性。
服务订单:服务人员可以实时查看自己接单的状态,包括待服务、进行中、已完成等,方便用户掌握工作进展。
服务评价:服务人员可以查看客户对自己服务的评价,了解客户的反馈,帮助自己改进服务质量。
收藏:服务人员可以收藏感兴趣的家政服务或资讯,便于后续查看和学习。
评论管理:服务人员可以查看自己对服务的评价记录,编辑或删除不满意的评价,确保评价的准确性和公正性。
(三)管理员角色用例如下图所示。
-
-
-
-
-
- 管理员用例图
-
-
-
-
系统后台管理端管理员具体功能说明如下所示。
后台首页:管理员登录后可以看到系统的首页,便于管理员快速了解系统运行状态。
系统用户:管理员可以对系统用户进行管理,包括添加、删除、编辑用户信息,以及查看用户的预约记录和评价信息。这一功能确保用户信息的安全和有效管理。
服务类型管理:管理员可以对家政服务的项目进行分类管理,包括添加、编辑和删除项目分类。这有助于用户在预约服务时更方便地找到所需服务。
家政服务管理:管理员负责管理具体的家政服务,包括添加新的家政服务、编辑现有项目的详细信息(如价格、描述、服务时长等),以及删除不再提供的家政服务。
预约订单管理:管理员可以查看所有用户的服务预约情况,支持对预约的管理,包括确认预约、修改预约时间、处理预约的特殊请求等。
订单取消管理:管理员可以处理用户的取消预约请求,记录取消的原因,并根据需要调整服务人员的安排。
服务订单管理:根据用户的预约情况,管理员可以将合适的家政服务人员分配给用户,确保服务的及时性和有效性;可以查看和管理所有订单的状态,包括已完成、进行中、待确认等状态,确保订单的透明和可追踪。
服务评价管理:管理员可以查看用户对服务的评价,处理不良评价,并根据反馈改进服务质量。同时,可以对评价进行审核和管理。
系统管理(轮播图):管理员可以管理网站的轮播图,包括上传新的图片、删除旧的图片以及调整图片的展示顺序,以提升用户体验。
网站公告管理:管理员可以发布系统公告、活动信息等,确保用户及时获取最新的信息和活动动态。
资源管理(家政资讯、资讯分类) :管理员可以管理家政相关的资讯和分类,包括添加新的资讯、编辑和删除旧的资讯,确保用户获取到最新的行业信息。
对于家政服务系统系统的设计与实现,下面是系统性能分析表:
-
-
-
-
- 性能需求表
-
-
-
|
项目 |
内容 |
|
响应时间 |
系统对用户请求的响应时间需在500ms以内 |
|
并发用户数 |
系统需要支持1000个并发用户同时访问 |
|
吞吐量 |
系统每秒需要处理1000个请求 |
|
可用性 |
系统需要保证每月99.9%的可用性 |
|
数据安全 |
用户敏感数据需要加密存储,并支持数据库备份和恢复 |
|
数据一致性 |
系统中的数据操作需保证ACID特性,确保数据一致性 |
|
扩展性 |
系统需要支持水平扩展,能够方便地增加服务器节点以应对高请求量 |
|
可维护性 |
系统代码需要清晰易懂、结构良好,方便维护和修改 |
|
日志记录 |
系统需要记录用户操作日志、异常日志以及系统运行日志 |
|
监控报警 |
系统需要实时监控运行状态,当系统异常时能够及时发送警报通知相关人员 |
|
缓存设置 |
针对频繁使用的数据,系统需要进行合适的缓 |
(1)增加数据流程
系统中的所有用户(管理员、普通用户和服务人员)都可以实现增加数据功能,图3.4显示的就是在增加数据时的流程。
-
-
-
-
-
- 增加数据流程图
-
-
-
-
(2)修改数据流程
在录入系统信息的时候如果信息有错,可以对系统中的数据进行编辑。图3.5显示的就是修改数据的流程。
-
-
-
-
-
- 修改数据流程图
-
-
-
-
(3)删除数据流程
在系统中经常会出现一些过期的数据,那就可以直接删除这些数据,图3.6就是删除数据时的流程图。
-
-
-
-
-
- 删除数据流程图
-
-
-
-
由于本系统在逻辑事务处理方面对数据库的操作比较频繁所以系统在底层连接数据库时并没有使用原生的JDBC,而是把JDBC进行了封装,封装之后相当于一个连接数据库的工具DB UTIL,这样使用起来会更加方便而且这样进行封装还可以降低系统中代码的冗余,当我们需要连接和使用数据库时只需要调用这个工具里面的一个方法就可以了。而且通过封装可以把对数据库的操作独立起来,当需要连接不同种类的数据库时只需要加以修改就可以达到目的。
DAO层本来并无这个类,它只是java中MVC构造里的一个model概念,主要就是里面的一些方法,而这些方法就是用来访问数据库的方法。我们在软件开发时DAO层我们一般都放接口和接口的实现类,用于来规范实现类的我们叫它接口,实现类重点用于对数据库的操纵。
MVC是一种系统研发的关键模型,M是Model模型,它是系统内部关键程序运行的核心,主要进行对数据库的各种操作。视图View是V也叫做视图,主要的作用是对一些数据进行显示。控制器Controller 是C执行从View的视图层来读取数据,然后控制用户的输入。
系统架构如下图所示。

功能模块设计是系统开发过程中的重要阶段,它旨在将系统划分为不同的模块,每个模块负责完成特定的功能或任务。家政服务系统系统由多个功能模块组成,每个模块下又包含具体的功能操作。功能模块图如下图所示。

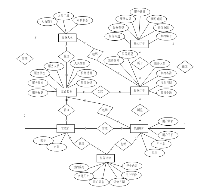
E-R图有助于理清系统中的数据结构和关系,为后续的数据库表结构设计提供指导。在进行数据库设计之前,首先需要先绘制实体-关系(E-R)图。E-R图将帮助我们理清业务中的实体(Entity)及它们之间的关系(Relationship),从而为后续的数据库表设计提供基础。根据前文可以得出本家政服务系统系统拥有多个实体,在此列举主要实体,各个实体之间联系总E-R图如下图所示。

在E-R图确定后,接下来可以根据实体和关系的属性设计数据库表结构。在E-R图明确了实体和它们之间的关系后,接下来可以开始设计数据库表结构。每个实体对应一个数据库表,每个属性对应表中的字段。如下列表格所示,在此列举主要数据表。
表access_token (登陆访问时长)
|
编号 |
名称 |
数据类型 |
长度 |
小数位 |
允许空值 |
主键 |
默认值 |
说明 |
|
1 |
token_id |
int |
10 |
0 |
N |
Y |
临时访问牌ID |
|
|
2 |
token |
varchar |
64 |
0 |
Y |
N |
临时访问牌 |
|
|
3 |
info |
text |
65535 |
0 |
Y |
N |
||
|
4 |
maxage |
int |
10 |
0 |
N |
N |
2 |
最大寿命:默认2小时 |
|
5 |
create_time |
timestamp |
19 |
0 |
N |
N |
CURRENT_TIMESTAMP |
创建时间: |
|
6 |
update_time |
timestamp |
19 |
0 |
N |
N |
CURRENT_TIMESTAMP |
更新时间: |
|
7 |
user_id |
int |
10 |
0 |
N |
N |
0 |
用户编号: |
表article (文章:用于内容管理系统的文章)
|
编号 |
名称 |
数据类型 |
长度 |
小数位 |
允许空值 |
主键 |
默认值 |
说明 |
|
1 |
article_id |
mediumint |
8 |
0 |
N |
Y |
文章id:[0,8388607] |
|
|
2 |
title |
varchar |
125 |
0 |
N |
Y |
标题:[0,125]用于文章和html的title标签中 |
|
|
3 |
type |
varchar |
64 |
0 |
N |
N |
0 |
文章分类:[0,1000]用来搜索指定类型的文章 |
|
4 |
hits |
int |
10 |
0 |
N |
N |
0 |
点击数:[0,1000000000]访问这篇文章的人次 |
|
5 |
praise_len |
int |
10 |
0 |
N |
N |
0 |
点赞数 |
|
6 |
create_time |
timestamp |
19 |
0 |
N |
N |
CURRENT_TIMESTAMP |
创建时间: |
|
7 |
update_time |
timestamp |
19 |
0 |
N |
N |
CURRENT_TIMESTAMP |
更新时间: |
|
8 |
source |
varchar |
255 |
0 |
Y |
N |
来源:[0,255]文章的出处 |
|
|
9 |
url |
varchar |
255 |
0 |
Y |
N |
来源地址:[0,255]用于跳转到发布该文章的网站 |
|
|
10 |
tag |
varchar |
255 |
0 |
Y |
N |
标签:[0,255]用于标注文章所属相关内容,多个标签用空格隔开 |
|
|
11 |
content |
longtext |
2147483647 |
0 |
Y |
N |
正文:文章的主体内容 |
|
|
12 |
img |
varchar |
255 |
0 |
Y |
N |
封面图 |
|
|
13 |
description |
text |
65535 |
0 |
Y |
N |
文章描述 |
表article_type (文章分类)
|
编号 |
名称 |
数据类型 |
长度 |
小数位 |
允许空值 |
主键 |
默认值 |
说明 |
|
1 |
type_id |
smallint |
5 |
0 |
N |
Y |
分类ID:[0,10000] |
|
|
2 |
display |
smallint |
5 |
0 |
N |
N |
100 |
显示顺序:[0,1000]决定分类显示的先后顺序 |
|
3 |
name |
varchar |
16 |
0 |
N |
N |
分类名称:[2,16] |
|
|
4 |
father_id |
smallint |
5 |
0 |
N |
N |
0 |
上级分类ID:[0,32767] |
|
5 |
description |
varchar |
255 |
0 |
Y |
N |
描述:[0,255]描述该分类的作用 |
|
|
6 |
icon |
text |
65535 |
0 |
Y |
N |
分类图标: |
|
|
7 |
url |
varchar |
255 |
0 |
Y |
N |
外链地址:[0,255]如果该分类是跳转到其他网站的情况下,就在该URL上设置 |
|
|
8 |
create_time |
timestamp |
19 |
0 |
N |
N |
CURRENT_TIMESTAMP |
创建时间: |
|
9 |
update_time |
timestamp |
19 |
0 |
N |
N |
CURRENT_TIMESTAMP |
更新时间: |
表auth (用户权限管理)
|
编号 |
名称 |
数据类型 |
长度 |
小数位 |
允许空值 |
主键 |
默认值 |
说明 |
|
1 |
auth_id |
int |
10 |
0 |
N |
Y |
授权ID: |
|
|
2 |
user_group |
varchar |
64 |
0 |
Y |
N |
用户组: |
|
|
3 |
mod_name |
varchar |
64 |
0 |
Y |
N |
模块名: |
|
|
4 |
table_name |
varchar |
64 |
0 |
Y |
N |
表名: |
|
|
5 |
page_title |
varchar |
255 |
0 |
Y |
N |
页面标题: |
|
|
6 |
path |
varchar |
255 |
0 |
Y |
N |
路由路径: |
|
|
7 |
parent |
varchar |
64 |
0 |
Y |
N |
父级菜单 |
|
|
8 |
parent_sort |
int |
10 |
0 |
N |
N |
0 |
父级菜单排序 |
|
9 |
position |
varchar |
32 |
0 |
Y |
N |
位置: |
|
|
10 |
mode |
varchar |
32 |
0 |
N |
N |
_blank |
跳转方式: |
|
11 |
add |
tinyint |
3 |
0 |
N |
N |
1 |
是否可增加: |
|
12 |
del |
tinyint |
3 |
0 |
N |
N |
1 |
是否可删除: |
|
13 |
set |
tinyint |
3 |
0 |
N |
N |
1 |
是否可修改: |
|
14 |
get |
tinyint |
3 |
0 |
N |
N |
1 |
是否可查看: |
|
15 |
field_add |
text |
65535 |
0 |
Y |
N |
添加字段: |
|
|
16 |
field_set |
text |
65535 |
0 |
Y |
N |
修改字段: |
|
|
17 |
field_get |
text |
65535 |
0 |
Y |
N |
查询字段: |
|
|
18 |
table_nav_name |
varchar |
500 |
0 |
Y |
N |
跨表导航名称: |
|
|
19 |
table_nav |
varchar |
500 |
0 |
Y |
N |
跨表导航: |
|
|
20 |
option |
text |
65535 |
0 |
Y |
N |
配置: |
|
|
21 |
create_time |
timestamp |
19 |
0 |
N |
N |
CURRENT_TIMESTAMP |
创建时间: |
|
22 |
update_time |
timestamp |
19 |
0 |
N |
N |
CURRENT_TIMESTAMP |
更新时间: |
表code_token
|
编号 |
名称 |
数据类型 |
长度 |
小数位 |
允许空值 |
主键 |
默认值 |
说明 |
|
1 |
code_token_id |
int |
10 |
0 |
N |
Y |
||
|
2 |
token |
varchar |
255 |
0 |
Y |
N |
||
|
3 |
code |
varchar |
255 |
0 |
Y |
N |
验证码 |
|
|
4 |
expire_time |
timestamp |
19 |
0 |
N |
N |
CURRENT_TIMESTAMP |
失效时间 |
|
5 |
create_time |
timestamp |
19 |
0 |
N |
N |
CURRENT_TIMESTAMP |
创建时间 |
|
6 |
update_time |
timestamp |
19 |
0 |
N |
N |
CURRENT_TIMESTAMP |
更新时间: |
表collect (收藏)
|
编号 |
名称 |
数据类型 |
长度 |
小数位 |
允许空值 |
主键 |
默认值 |
说明 |
|
1 |
collect_id |
int |
10 |
0 |
N |
Y |
收藏ID: |
|
|
2 |
user_id |
int |
10 |
0 |
N |
N |
0 |
收藏人ID: |
|
3 |
source_table |
varchar |
255 |
0 |
Y |
N |
来源表: |
|
|
4 |
source_field |
varchar |
255 |
0 |
Y |
N |
来源字段: |
|
|
5 |
source_id |
int |
10 |
0 |
N |
N |
0 |
来源ID: |
|
6 |
title |
varchar |
255 |
0 |
Y |
N |
标题: |
|
|
7 |
img |
varchar |
255 |
0 |
Y |
N |
封面: |
|
|
8 |
create_time |
timestamp |
19 |
0 |
N |
N |
CURRENT_TIMESTAMP |
创建时间: |
|
9 |
update_time |
timestamp |
19 |
0 |
N |
N |
CURRENT_TIMESTAMP |
更新时间: |
表comment (评论)
|
编号 |
名称 |
数据类型 |
长度 |
小数位 |
允许空值 |
主键 |
默认值 |
说明 |
|
1 |
comment_id |
int |
10 |
0 |
N |
Y |
评论ID: |
|
|
2 |
user_id |
int |
10 |
0 |
N |
N |
0 |
评论人ID: |
|
3 |
reply_to_id |
int |
10 |
0 |
N |
N |
0 |
回复评论ID:空为0 |
|
4 |
content |
longtext |
2147483647 |
0 |
Y |
N |
内容: |
|
|
5 |
nickname |
varchar |
255 |
0 |
Y |
N |
昵称: |
|
|
6 |
avatar |
varchar |
255 |
0 |
Y |
N |
头像地址:[0,255] |
|
|
7 |
create_time |
timestamp |
19 |
0 |
N |
N |
CURRENT_TIMESTAMP |
创建时间: |
|
8 |
update_time |
timestamp |
19 |
0 |
N |
N |
CURRENT_TIMESTAMP |
更新时间: |
|
9 |
source_table |
varchar |
255 |
0 |
Y |
N |
来源表: |
|
|
10 |
source_field |
varchar |
255 |
0 |
Y |
N |
来源字段: |
|
|
11 |
source_id |
int |
10 |
0 |
N |
N |
0 |
来源ID: |
表hits (用户点击)
|
编号 |
名称 |
数据类型 |
长度 |
小数位 |
允许空值 |
主键 |
默认值 |
说明 |
|
1 |
hits_id |
int |
10 |
0 |
N |
Y |
点赞ID: |
|
|
2 |
user_id |
int |
10 |
0 |
N |
N |
0 |
点赞人: |
|
3 |
create_time |
timestamp |
19 |
0 |
N |
N |
CURRENT_TIMESTAMP |
创建时间: |
|
4 |
update_time |
timestamp |
19 |
0 |
N |
N |
CURRENT_TIMESTAMP |
更新时间: |
|
5 |
source_table |
varchar |
255 |
0 |
Y |
N |
来源表: |
|
|
6 |
source_field |
varchar |
255 |
0 |
Y |
N |
来源字段: |
|
|
7 |
source_id |
int |
10 |
0 |
N |
N |
0 |
来源ID: |
表home_service (家政服务)
|
编号 |
名称 |
数据类型 |
长度 |
小数位 |
允许空值 |
主键 |
默认值 |
说明 |
|
1 |
home_service_id |
int |
10 |
0 |
N |
Y |
家政服务ID |
|
|
2 |
service_title |
varchar |
64 |
0 |
N |
N |
服务标题 |
|
|
3 |
service_images |
varchar |
255 |
0 |
Y |
N |
服务图片 |
|
|
4 |
service_type |
varchar |
64 |
0 |
Y |
N |
服务类型 |
|
|
5 |
service_personal |
int |
10 |
0 |
Y |
N |
0 |
服务人员 |
|
6 |
personnel_name |
varchar |
64 |
0 |
Y |
N |
人员姓名 |
|
|
7 |
personnel_mobile_phone |
varchar |
16 |
0 |
Y |
N |
人员手机 |
|
|
8 |
price_description |
text |
65535 |
0 |
Y |
N |
价格说明 |
|
|
9 |
service_introduction |
text |
65535 |
0 |
Y |
N |
服务介绍 |
|
|
10 |
service_content |
longtext |
2147483647 |
0 |
Y |
N |
服务内容 |
|
|
11 |
hits |
int |
10 |
0 |
N |
N |
0 |
点击数 |
|
12 |
praise_len |
int |
10 |
0 |
N |
N |
0 |
点赞数 |
|
13 |
collect_len |
int |
10 |
0 |
N |
N |
0 |
收藏数 |
|
14 |
comment_len |
int |
10 |
0 |
N |
N |
0 |
评论数 |
|
15 |
reservation_order_limit_times |
int |
10 |
0 |
N |
N |
0 |
立即预约限制次数 |
|
16 |
create_time |
datetime |
19 |
0 |
N |
N |
CURRENT_TIMESTAMP |
创建时间 |
|
17 |
update_time |
timestamp |
19 |
0 |
N |
N |
CURRENT_TIMESTAMP |
更新时间 |
表notice (公告)
|
编号 |
名称 |
数据类型 |
长度 |
小数位 |
允许空值 |
主键 |
默认值 |
说明 |
|
1 |
notice_id |
mediumint |
8 |
0 |
N |
Y |
公告id: |
|
|
2 |
title |
varchar |
125 |
0 |
N |
N |
标题: |
|
|
3 |
content |
longtext |
2147483647 |
0 |
Y |
N |
正文: |
|
|
4 |
create_time |
timestamp |
19 |
0 |
N |
N |
CURRENT_TIMESTAMP |
创建时间: |
|
5 |
update_time |
timestamp |
19 |
0 |
N |
N |
CURRENT_TIMESTAMP |
更新时间: |
表order_cancellation (订单取消)
|
编号 |
名称 |
数据类型 |
长度 |
小数位 |
允许空值 |
主键 |
默认值 |
说明 |
|
1 |
order_cancellation_id |
int |
10 |
0 |
N |
Y |
订单取消ID |
|
|
2 |
appointment_number |
varchar |
64 |
0 |
Y |
N |
预约编号 |
|
|
3 |
service_title |
varchar |
64 |
0 |
Y |
N |
服务标题 |
|
|
4 |
service_type |
varchar |
64 |
0 |
Y |
N |
服务类型 |
|
|
5 |
service_personal |
int |
10 |
0 |
Y |
N |
0 |
服务人员 |
|
6 |
personnel_name |
varchar |
64 |
0 |
Y |
N |
人员姓名 |
|
|
7 |
personnel_mobile_phone |
varchar |
64 |
0 |
Y |
N |
人员手机 |
|
|
8 |
ordinary_users |
int |
10 |
0 |
Y |
N |
0 |
普通用户 |
|
9 |
user_name |
varchar |
64 |
0 |
Y |
N |
用户姓名 |
|
|
10 |
users_mobile_phone |
varchar |
64 |
0 |
Y |
N |
用户手机 |
|
|
11 |
cancel_date |
date |
10 |
0 |
Y |
N |
取消日期 |
|
|
12 |
cancel_remarks |
text |
65535 |
0 |
Y |
N |
取消备注 |
|
|
13 |
examine_state |
varchar |
16 |
0 |
N |
N |
未审核 |
审核状态 |
|
14 |
examine_reply |
varchar |
16 |
0 |
Y |
N |
审核回复 |
|
|
15 |
create_time |
datetime |
19 |
0 |
N |
N |
CURRENT_TIMESTAMP |
创建时间 |
|
16 |
update_time |
timestamp |
19 |
0 |
N |
N |
CURRENT_TIMESTAMP |
更新时间 |
|
17 |
source_table |
varchar |
255 |
0 |
Y |
N |
来源表 |
|
|
18 |
source_id |
int |
10 |
0 |
Y |
N |
来源ID |
|
|
19 |
source_user_id |
int |
10 |
0 |
Y |
N |
来源用户 |
表ordinary_users (普通用户)
|
编号 |
名称 |
数据类型 |
长度 |
小数位 |
允许空值 |
主键 |
默认值 |
说明 |
|
1 |
ordinary_users_id |
int |
10 |
0 |
N |
Y |
普通用户ID |
|
|
2 |
user_name |
varchar |
64 |
0 |
Y |
N |
用户姓名 |
|
|
3 |
users_mobile_phone |
varchar |
16 |
0 |
N |
N |
用户手机 |
|
|
4 |
examine_state |
varchar |
16 |
0 |
N |
N |
已通过 |
审核状态 |
|
5 |
user_id |
int |
10 |
0 |
N |
N |
0 |
用户ID |
|
6 |
create_time |
datetime |
19 |
0 |
N |
N |
CURRENT_TIMESTAMP |
创建时间 |
|
7 |
update_time |
timestamp |
19 |
0 |
N |
N |
CURRENT_TIMESTAMP |
更新时间 |
表praise (点赞)
|
编号 |
名称 |
数据类型 |
长度 |
小数位 |
允许空值 |
主键 |
默认值 |
说明 |
|
1 |
praise_id |
int |
10 |
0 |
N |
Y |
点赞ID: |
|
|
2 |
user_id |
int |
10 |
0 |
N |
N |
0 |
点赞人: |
|
3 |
create_time |
timestamp |
19 |
0 |
N |
N |
CURRENT_TIMESTAMP |
创建时间: |
|
4 |
update_time |
timestamp |
19 |
0 |
N |
N |
CURRENT_TIMESTAMP |
更新时间: |
|
5 |
source_table |
varchar |
255 |
0 |
Y |
N |
来源表: |
|
|
6 |
source_field |
varchar |
255 |
0 |
Y |
N |
来源字段: |
|
|
7 |
source_id |
int |
10 |
0 |
N |
N |
0 |
来源ID: |
|
8 |
status |
bit |
1 |
0 |
N |
N |
1 |
点赞状态:1为点赞,0已取消 |
表reservation_order (预约订单)
|
编号 |
名称 |
数据类型 |
长度 |
小数位 |
允许空值 |
主键 |
默认值 |
说明 |
|
1 |
reservation_order_id |
int |
10 |
0 |
N |
Y |
预约订单ID |
|
|
2 |
appointment_number |
varchar |
64 |
0 |
Y |
N |
预约编号 |
|
|
3 |
service_title |
varchar |
64 |
0 |
Y |
N |
服务标题 |
|
|
4 |
service_type |
varchar |
64 |
0 |
Y |
N |
服务类型 |
|
|
5 |
service_personal |
int |
10 |
0 |
Y |
N |
0 |
服务人员 |
|
6 |
personnel_name |
varchar |
64 |
0 |
Y |
N |
人员姓名 |
|
|
7 |
personnel_mobile_phone |
varchar |
64 |
0 |
Y |
N |
人员手机 |
|
|
8 |
ordinary_users |
int |
10 |
0 |
Y |
N |
0 |
普通用户 |
|
9 |
user_name |
varchar |
64 |
0 |
Y |
N |
用户姓名 |
|
|
10 |
users_mobile_phone |
varchar |
64 |
0 |
Y |
N |
用户手机 |
|
|
11 |
time_of_appointment |
datetime |
19 |
0 |
Y |
N |
预约时间 |
|
|
12 |
service_address |
text |
65535 |
0 |
Y |
N |
服务地址 |
|
|
13 |
appointment_remarks |
text |
65535 |
0 |
Y |
N |
预约备注 |
|
|
14 |
examine_state |
varchar |
16 |
0 |
N |
N |
未审核 |
审核状态 |
|
15 |
examine_reply |
varchar |
16 |
0 |
Y |
N |
审核回复 |
|
|
16 |
order_cancellation_limit_times |
int |
10 |
0 |
N |
N |
1 |
取消订单限制次数 |
|
17 |
service_order_limit_times |
int |
10 |
0 |
N |
N |
1 |
接单服务限制次数 |
|
18 |
create_time |
datetime |
19 |
0 |
N |
N |
CURRENT_TIMESTAMP |
创建时间 |
|
19 |
update_time |
timestamp |
19 |
0 |
N |
N |
CURRENT_TIMESTAMP |
更新时间 |
|
20 |
source_table |
varchar |
255 |
0 |
Y |
N |
来源表 |
|
|
21 |
source_id |
int |
10 |
0 |
Y |
N |
来源ID |
|
|
22 |
source_user_id |
int |
10 |
0 |
Y |
N |
来源用户 |
表schedule (日程管理)
|
编号 |
名称 |
数据类型 |
长度 |
小数位 |
允许空值 |
主键 |
默认值 |
说明 |
|
1 |
schedule_id |
smallint |
5 |
0 |
N |
Y |
日程ID:[0,32767] |
|
|
2 |
content |
varchar |
255 |
0 |
Y |
N |
日程内容 |
|
|
3 |
scheduled_time |
datetime |
19 |
0 |
Y |
N |
计划时间 |
|
|
4 |
user_id |
int |
10 |
0 |
N |
N |
用户id |
|
|
5 |
create_time |
datetime |
19 |
0 |
Y |
N |
创建时间 |
|
|
6 |
update_time |
datetime |
19 |
0 |
Y |
N |
更新时间 |
表score (评分)
|
编号 |
名称 |
数据类型 |
长度 |
小数位 |
允许空值 |
主键 |
默认值 |
说明 |
|
1 |
score_id |
int |
10 |
0 |
N |
Y |
评分ID: |
|
|
2 |
user_id |
int |
10 |
0 |
N |
N |
0 |
评分人: |
|
3 |
nickname |
varchar |
64 |
0 |
Y |
N |
昵称: |
|
|
4 |
score_num |
double |
5 |
2 |
N |
N |
0.00 |
评分: |
|
5 |
create_time |
timestamp |
19 |
0 |
N |
N |
CURRENT_TIMESTAMP |
创建时间: |
|
6 |
update_time |
timestamp |
19 |
0 |
N |
N |
CURRENT_TIMESTAMP |
更新时间: |
|
7 |
source_table |
varchar |
255 |
0 |
Y |
N |
来源表: |
|
|
8 |
source_field |
varchar |
255 |
0 |
Y |
N |
来源字段: |
|
|
9 |
source_id |
int |
10 |
0 |
N |
N |
0 |
来源ID: |
表service_evaluation (服务评价)
|
编号 |
名称 |
数据类型 |
长度 |
小数位 |
允许空值 |
主键 |
默认值 |
说明 |
|
1 |
service_evaluation_id |
int |
10 |
0 |
N |
Y |
服务评价ID |
|
|
2 |
appointment_number |
varchar |
64 |
0 |
Y |
N |
预约编号 |
|
|
3 |
service_title |
varchar |
64 |
0 |
Y |
N |
服务标题 |
|
|
4 |
service_type |
varchar |
64 |
0 |
Y |
N |
服务类型 |
|
|
5 |
service_personal |
int |
10 |
0 |
Y |
N |
0 |
服务人员 |
|
6 |
personnel_name |
varchar |
64 |
0 |
Y |
N |
人员姓名 |
|
|
7 |
ordinary_users |
int |
10 |
0 |
Y |
N |
0 |
普通用户 |
|
8 |
user_name |
varchar |
64 |
0 |
Y |
N |
用户姓名 |
|
|
9 |
evaluation_date |
date |
10 |
0 |
Y |
N |
评价日期 |
|
|
10 |
user_reviews |
varchar |
64 |
0 |
Y |
N |
用户评价 |
|
|
11 |
evaluation_content |
text |
65535 |
0 |
Y |
N |
评价内容 |
|
|
12 |
create_time |
datetime |
19 |
0 |
N |
N |
CURRENT_TIMESTAMP |
创建时间 |
|
13 |
update_time |
timestamp |
19 |
0 |
N |
N |
CURRENT_TIMESTAMP |
更新时间 |
|
14 |
source_table |
varchar |
255 |
0 |
Y |
N |
来源表 |
|
|
15 |
source_id |
int |
10 |
0 |
Y |
N |
来源ID |
|
|
16 |
source_user_id |
int |
10 |
0 |
Y |
N |
来源用户 |
表service_order (服务订单)
|
编号 |
名称 |
数据类型 |
长度 |
小数位 |
允许空值 |
主键 |
默认值 |
说明 |
|
1 |
service_order_id |
int |
10 |
0 |
N |
Y |
服务订单ID |
|
|
2 |
appointment_number |
varchar |
64 |
0 |
Y |
N |
预约编号 |
|
|
3 |
service_title |
varchar |
64 |
0 |
Y |
N |
服务标题 |
|
|
4 |
service_type |
varchar |
64 |
0 |
Y |
N |
服务类型 |
|
|
5 |
service_personal |
int |
10 |
0 |
Y |
N |
0 |
服务人员 |
|
6 |
personnel_name |
varchar |
64 |
0 |
Y |
N |
人员姓名 |
|
|
7 |
personnel_mobile_phone |
varchar |
64 |
0 |
Y |
N |
人员手机 |
|
|
8 |
ordinary_users |
int |
10 |
0 |
Y |
N |
0 |
普通用户 |
|
9 |
user_name |
varchar |
64 |
0 |
Y |
N |
用户姓名 |
|
|
10 |
users_mobile_phone |
varchar |
64 |
0 |
Y |
N |
用户手机 |
|
|
11 |
time_of_appointment |
datetime |
19 |
0 |
Y |
N |
预约时间 |
|
|
12 |
service_address |
text |
65535 |
0 |
Y |
N |
服务地址 |
|
|
13 |
appointment_remarks |
text |
65535 |
0 |
Y |
N |
预约备注 |
|
|
14 |
date_of_order_acceptance |
date |
10 |
0 |
Y |
N |
接单日期 |
|
|
15 |
cost_amount |
double |
9 |
2 |
Y |
N |
0.00 |
费用金额 |
|
16 |
order_acceptance_remarks |
text |
65535 |
0 |
Y |
N |
接单备注 |
|
|
17 |
pay_state |
varchar |
16 |
0 |
N |
N |
未支付 |
支付状态 |
|
18 |
pay_type |
varchar |
16 |
0 |
Y |
N |
支付类型: 微信、支付宝、网银 |
|
|
19 |
service_evaluation_limit_times |
int |
10 |
0 |
N |
N |
1 |
服务评价限制次数 |
|
20 |
create_time |
datetime |
19 |
0 |
N |
N |
CURRENT_TIMESTAMP |
创建时间 |
|
21 |
update_time |
timestamp |
19 |
0 |
N |
N |
CURRENT_TIMESTAMP |
更新时间 |
|
22 |
source_table |
varchar |
255 |
0 |
Y |
N |
来源表 |
|
|
23 |
source_id |
int |
10 |
0 |
Y |
N |
来源ID |
|
|
24 |
source_user_id |
int |
10 |
0 |
Y |
N |
来源用户 |
表service_personal (服务人员)
|
编号 |
名称 |
数据类型 |
长度 |
小数位 |
允许空值 |
主键 |
默认值 |
说明 |
|
1 |
service_personal_id |
int |
10 |
0 |
N |
Y |
服务人员ID |
|
|
2 |
personnel_name |
varchar |
64 |
0 |
Y |
N |
人员姓名 |
|
|
3 |
personnel_mobile_phone |
varchar |
16 |
0 |
N |
N |
人员手机 |
|
|
4 |
id_number |
varchar |
255 |
0 |
Y |
N |
身份证号 |
|
|
5 |
service_qualification |
varchar |
255 |
0 |
Y |
N |
服务资质 |
|
|
6 |
examine_state |
varchar |
16 |
0 |
N |
N |
未审核 |
审核状态 |
|
7 |
user_id |
int |
10 |
0 |
N |
N |
0 |
用户ID |
|
8 |
create_time |
datetime |
19 |
0 |
N |
N |
CURRENT_TIMESTAMP |
创建时间 |
|
9 |
update_time |
timestamp |
19 |
0 |
N |
N |
CURRENT_TIMESTAMP |
更新时间 |
表service_type (服务类型)
|
编号 |
名称 |
数据类型 |
长度 |
小数位 |
允许空值 |
主键 |
默认值 |
说明 |
|
1 |
service_type_id |
int |
10 |
0 |
N |
Y |
服务类型ID |
|
|
2 |
service_type |
varchar |
64 |
0 |
Y |
N |
服务类型 |
|
|
3 |
create_time |
datetime |
19 |
0 |
N |
N |
CURRENT_TIMESTAMP |
创建时间 |
|
4 |
update_time |
timestamp |
19 |
0 |
N |
N |
CURRENT_TIMESTAMP |
更新时间 |
表slides (轮播图)
|
编号 |
名称 |
数据类型 |
长度 |
小数位 |
允许空值 |
主键 |
默认值 |
说明 |
|
1 |
slides_id |
int |
10 |
0 |
N |
Y |
轮播图ID: |
|
|
2 |
title |
varchar |
64 |
0 |
Y |
N |
标题: |
|
|
3 |
content |
varchar |
255 |
0 |
Y |
N |
内容: |
|
|
4 |
url |
varchar |
255 |
0 |
Y |
N |
链接: |
|
|
5 |
img |
varchar |
255 |
0 |
Y |
N |
轮播图: |
|
|
6 |
hits |
int |
10 |
0 |
N |
N |
0 |
点击量: |
|
7 |
create_time |
timestamp |
19 |
0 |
N |
N |
CURRENT_TIMESTAMP |
创建时间: |
|
8 |
update_time |
timestamp |
19 |
0 |
N |
N |
CURRENT_TIMESTAMP |
更新时间: |
表upload (文件上传)
|
编号 |
名称 |
数据类型 |
长度 |
小数位 |
允许空值 |
主键 |
默认值 |
说明 |
|
1 |
upload_id |
int |
10 |
0 |
N |
Y |
上传ID |
|
|
2 |
name |
varchar |
64 |
0 |
Y |
N |
文件名 |
|
|
3 |
path |
varchar |
255 |
0 |
Y |
N |
访问路径 |
|
|
4 |
file |
varchar |
255 |
0 |
Y |
N |
文件路径 |
|
|
5 |
display |
varchar |
255 |
0 |
Y |
N |
显示顺序 |
|
|
6 |
father_id |
int |
10 |
0 |
Y |
N |
0 |
父级ID |
|
7 |
dir |
varchar |
255 |
0 |
Y |
N |
文件夹 |
|
|
8 |
type |
varchar |
32 |
0 |
Y |
N |
文件类型 |
表user (用户账户:用于保存用户登录信息)
|
编号 |
名称 |
数据类型 |
长度 |
小数位 |
允许空值 |
主键 |
默认值 |
说明 |
|
1 |
user_id |
int |
10 |
0 |
N |
Y |
用户ID:[0,8388607]用户获取其他与用户相关的数据 |
|
|
2 |
state |
smallint |
5 |
0 |
N |
N |
1 |
账户状态:[0,10](1可用|2异常|3已冻结|4已注销) |
|
3 |
user_group |
varchar |
32 |
0 |
Y |
N |
所在用户组:[0,32767]决定用户身份和权限 |
|
|
4 |
login_time |
timestamp |
19 |
0 |
N |
N |
CURRENT_TIMESTAMP |
上次登录时间: |
|
5 |
phone |
varchar |
11 |
0 |
Y |
N |
手机号码:[0,11]用户的手机号码,用于找回密码时或登录时 |
|
|
6 |
phone_state |
smallint |
5 |
0 |
N |
N |
0 |
手机认证:[0,1](0未认证|1审核中|2已认证) |
|
7 |
username |
varchar |
16 |
0 |
N |
N |
用户名:[0,16]用户登录时所用的账户名称 |
|
|
8 |
nickname |
varchar |
16 |
0 |
Y |
N |
昵称:[0,16] |
|
|
9 |
password |
varchar |
64 |
0 |
N |
N |
密码:[0,32]用户登录所需的密码,由6-16位数字或英文组成 |
|
|
10 |
|
varchar |
64 |
0 |
Y |
N |
邮箱:[0,64]用户的邮箱,用于找回密码时或登录时 |
|
|
11 |
email_state |
smallint |
5 |
0 |
N |
N |
0 |
邮箱认证:[0,1](0未认证|1审核中|2已认证) |
|
12 |
avatar |
varchar |
255 |
0 |
Y |
N |
头像地址:[0,255] |
|
|
13 |
open_id |
varchar |
255 |
0 |
Y |
N |
针对获取用户信息字段 |
|
|
14 |
create_time |
timestamp |
19 |
0 |
N |
N |
CURRENT_TIMESTAMP |
创建时间: |
表user_group (用户组:用于用户前端身份和鉴权)
|
编号 |
名称 |
数据类型 |
长度 |
小数位 |
允许空值 |
主键 |
默认值 |
说明 |
|
1 |
group_id |
mediumint |
8 |
0 |
N |
Y |
用户组ID:[0,8388607] |
|
|
2 |
display |
smallint |
5 |
0 |
N |
N |
100 |
显示顺序:[0,1000] |
|
3 |
name |
varchar |
16 |
0 |
N |
N |
名称:[0,16] |
|
|
4 |
description |
varchar |
255 |
0 |
Y |
N |
描述:[0,255]描述该用户组的特点或权限范围 |
|
|
5 |
source_table |
varchar |
255 |
0 |
Y |
N |
来源表: |
|
|
6 |
source_field |
varchar |
255 |
0 |
Y |
N |
来源字段: |
|
|
7 |
source_id |
int |
10 |
0 |
N |
N |
0 |
来源ID: |
|
8 |
register |
smallint |
5 |
0 |
Y |
N |
0 |
注册位置: |
|
9 |
create_time |
timestamp |
19 |
0 |
N |
N |
CURRENT_TIMESTAMP |
创建时间: |
|
10 |
update_time |
timestamp |
19 |
0 |
N |
N |
CURRENT_TIMESTAMP |
更新时间: |
用户输入用户名和密码后,系统首先对这些输入进行基本的格式验证,确保用户名和密码符合系统设定的格式要求(如长度、特殊字符要求等)。系统接收到用户输入后,会根据用户名查找系统中存储的用户信息数据库或者其他持久化存储方式。系统需要验证密码的正确性,验证成功即可成功登录。

-
-
-
-
-
- 用户登录界面设计
-
-
-
-
登录关键代码如下:
/**
* 登录
* @param data
* @param httpServletRequest
* @return
*/
@PostMapping("login")
public Map<String, Object> login(@RequestBody Map<String, String> data, HttpServletRequest httpServletRequest) {
log.info("[执行登录接口]");
String username = data.get("username");
String email = data.get("email");
String phone = data.get("phone");
String password = data.get("password");
List resultList = null;
Map<String, String> map = new HashMap<>();
if(username != null && "".equals(username) == false){
map.put("username", username);
resultList = service.selectBaseList(service.select(map, new HashMap<>()));
}
else if(email != null && "".equals(email) == false){
map.put("email", email);
resultList = service.selectBaseList(service.select(map, new HashMap<>()));
}
else if(phone != null && "".equals(phone) == false){
map.put("phone", phone);
resultList = service.selectBaseList(service.select(map, new HashMap<>()));
}else{
return error(30000, "账号或密码不能为空");
}
if (resultList == null || password == null) {
return error(30000, "账号或密码不能为空");
}
//判断是否有这个用户
if (resultList.size()<=0){
return error(30000,"用户不存在");
}
User byUsername = (User) resultList.get(0);
Map<String, String> groupMap = new HashMap<>();
groupMap.put("name",byUsername.getUserGroup());
List groupList = userGroupService.selectBaseList(userGroupService.select(groupMap, new HashMap<>()));
if (groupList.size()<1){
return error(30000,"用户组不存在");
}
UserGroup userGroup = (UserGroup) groupList.get(0);
//查询用户审核状态
if (!StringUtils.isEmpty(userGroup.getSourceTable())){
String res = service.selectExamineState(userGroup.getSourceTable(),byUsername.getUserId());
if (res==null){
return error(30000,"用户不存在");
}
if (!res.equals("已通过")){
return error(30000,"该用户审核未通过");
}
}
//查询用户状态
if (byUsername.getState()!=1){
return error(30000,"用户非可用状态,不能登录");
}
String md5password = service.encryption(password);
if (byUsername.getPassword().equals(md5password)) {
// 存储Token到数据库
AccessToken accessToken = new AccessToken();
accessToken.setToken(UUID.randomUUID().toString().replaceAll("-", ""));
accessToken.setUser_id(byUsername.getUserId());
Duration duration = Duration.ofSeconds(7200L);
redisTemplate.opsForValue().set(accessToken.getToken(), accessToken,duration);
// 返回用户信息
JSONObject user = JSONObject.parseObject(JSONObject.toJSONString(byUsername));
user.put("token", accessToken.getToken());
JSONObject ret = new JSONObject();
ret.put("obj",user);
return success(ret);
} else {
return error(30000, "账号或密码不正确");
}
}
用户注册时,系统要求用户提供必要的信息,例如用户名、密码、电子邮件地址等。这些信息通常由用户在注册表单中输入,并通过前端验证确保格式的正确性。注册过程完成后,系统会为新用户创建一个账户。这包括分配一个唯一的用户ID和设置初始的权限或者角色。

-
-
-
-
-
- 用户注册界面设计
-
-
-
-
注册关键代码如下:
/**
* 注册
* @param user
* @return
*/
@PostMapping("register")
public Map<String, Object> signUp(@RequestBody User user) {
// 查询用户
Map<String, String> query = new HashMap<>();
Map<String,Object> map = JSON.parseObject(JSON.toJSONString(user));
query.put("username",user.getUsername());
List list = service.selectBaseList(service.select(query, new HashMap<>()));
if (list.size()>0){
return error(30000, "用户已存在");
}
map.put("password",service.encryption(String.valueOf(map.get("password"))));
service.insert(map);
return success(1);
}
提供最新的家政行业资讯和相关知识,用户可以浏览、阅读和分享这些资讯,帮助用户更好地了解家政服务。
家政资讯主界面图如下所示。

-
-
-
-
-
- 家政资讯主界面设计
-
-
- 家政服务界面
-
-
普通用户可以查看系统中提供的各种家政家政服务,包括详细的服务内容、价格、时长等信息,帮助用户根据自身需求选择合适的服务。家政服务主界面图如下所示。

服务人员可以查看自己被分配的服务订单,了解客户需求和服务时间,确保服务的及时性。
家政分配主界面图如下所示。

-
-
-
-
-
- 家政服务界面设计
-
-
-
-
家政分配添加代码如下:
@PostMapping("/add")
@Transactional
public Map<String, Object> add(HttpServletRequest request) throws IOException {
service.insert(service.readBody(request.getReader()));
return success(1);
}
public Map<String, Object> addMap(Map<String,Object> map){
service.insert(map);
return success(1);
}
服务人员可以实时查看自己接单的详情,包括接单日期、费用金额、接单备注、支付状态等,方便用户掌握工作进展。
服务订单主界面图如下所示。

-
-
-
-
-
- 服务订单界面设计
-
-
-
-
管理员可以管理系统中的所有用户,包括普通用户和服务人员。此功能允许管理员添加、修改、删除用户信息,并根据需要调整用户权限,确保系统的安全性和可控性。
系统用户主界面图如下所示。

-
-
-
-
-
- 系统用户界面设计
-
-
-
-
添加系统用户信息关键代码:
@PostMapping("/add")
@Transactional
public Map<String, Object> add(HttpServletRequest request) throws IOException {
service.insert(service.readBody(request.getReader()));
return success(1);
}
public Map<String, Object> addMap(Map<String,Object> map){
service.insert(map);
return success(1);
}
管理员可以对家政服务进行分类管理,包括添加、编辑和删除项目分类。这有助于用户在预约服务时更方便地找到所需服务。
服务类型管理主界面图如下所示。

-
-
-
-
-
- 服务类型管理界面设计
-
-
-
-
添加项目分类代码如下:
@PostMapping("/add")
@Transactional
public Map<String, Object> add(HttpServletRequest request) throws IOException {
service.insert(service.readBody(request.getReader()));
return success(1);
}
@Transactional
public Map<String, Object> addMap(Map<String,Object> map){
service.insert(map);
return success(1);
}
管理员负责管理具体的家政服务,包括添加新的家政服务、编辑现有项目的详细信息(如价格、描述等),以及删除不再提供的家政服务。
家政服务管理界面如下所示。

-
-
-
-
-
- 家政服务管理详情界面设计
-
-
-
-
添加家政服务代码如下:
@PostMapping("/add")
@Transactional
public Map<String, Object> add(HttpServletRequest request) throws IOException {
service.insert(service.readBody(request.getReader()));
return success(1);
}
@Transactional
public Map<String, Object> addMap(Map<String,Object> map){
service.insert(map);
return success(1);
}
管理员可以对轮播图进行管理,包括添加、修改、删除轮播图,设置轮播图属性等。
系统管理界面如下所示。

管理员可以发布公告信息,所有用户都可以查看公告信息。同时,管理员还需要能够查看和管理所有公告信息。
网站公告管理界面如下所示。

-
-
-
-
-
- 网站公告管理界面设计
-
-
-
-
上传图片关键代码如下:
@PostMapping("/upload")
public Map<String, Object> upload(@RequestParam("file") MultipartFile file) {
log.info("进入方法");
if (file.isEmpty()) {
return error(30000, "没有选择文件");
}
try {
//判断有没路径,没有则创建
String filePath = System.getProperty("user.dir") + "/src/main/resources/static/";
File targetDir = new File(filePath);
if (!targetDir.exists() && !targetDir.isDirectory()) {
if (targetDir.mkdirs()) {
log.info("创建目录成功");
} else {
log.error("创建目录失败");
}
}
String fileName = file.getOriginalFilename();
File dest = new File(filePath + fileName);
log.info("文件路径:{}", dest.getPath());
log.info("文件名:{}", dest.getName());
file.transferTo(dest);
JSONObject jsonObject = new JSONObject();
jsonObject.put("url", "/api/upload/" + fileName);
return success(jsonObject);
} catch (IOException e) {
log.info("上传失败:{}", e.getMessage());
}
return error(30000, "上传失败");
系统开发到了最后一个阶段那就是系统测试,系统测试对软件的开发其实是非常有必要的。因为没什么系统一经开发出来就可能会尽善尽美,再厉害的系统开发工程师也会在系统开发的时候出现纰漏,系统测试能够较好的改正一些bug,为后期系统的维护性提供很好的支持。通过系统测试,开发人员也可以建立自己对系统的信心,为后期的系统版本的跟新提供支持。
系统测试包括:用户登录功能测试、家政服务查看功能测试、评价信息添加、家政服务搜索、密码修改功能测试,如表6-1、6-2、6-3、6-4、6-5所示:
表6-1 用户登录功能测试表
|
用例名称 |
用户登录系统 |
|
目的 |
测试用户通过正确的用户名和密码可否登录功能 |
|
前提 |
未登录的情况下 |
|
测试流程 |
1) 进入登录页面 2) 输入正确的用户名和密码 |
|
预期结果 |
用户名和密码正确的时候,跳转到登录成功界面,反之则显示错误信息,提示重新输入 |
|
实际结果 |
实际结果与预期结果一致 |
家政服务查看功能测试:
表6-2家政服务查看功能测试表
|
用例名称 |
家政服务查看 |
|
目的 |
测试家政服务查看功能 |
|
前提 |
用户登录 |
|
测试流程 |
点击家政服务列表 |
|
预期结果 |
可以查看到所有家政服务 |
|
实际结果 |
实际结果与预期结果一致 |
管理员添加评价信息界面测试:
表6-3 管理员添加评价信息界面测试表
|
用例名称 |
评价信息添加测试用例 |
|
目的 |
测试评价信息添加功能 |
|
前提 |
管理员正常登录情况下 |
|
测试流程 |
1)管理员点击评价信息添加,填写信息。 2)点击进行提交。 |
|
预期结果 |
提交以后,评价信息列表会显示新的评价信息信息 |
|
实际结果 |
实际结果与预期结果一致 |
家政服务搜索功能测试:
表6-4家政服务搜索功能测试表
|
用例名称 |
家政服务搜索测试 |
|
目的 |
测试家政服务搜索功能 |
|
前提 |
无 |
|
测试流程 |
1)在搜索框填入搜索关键字。 2)点击搜索按钮。 |
|
预期结果 |
页面显示包含有搜索关键字的家政服务 |
|
实际结果 |
实际结果与预期结果一致 |
密码修改功能测试:
表6-5 密码修改功能测试表
|
用例名称 |
密码修改测试用例 |
|
目的 |
测试管理员密码修改功能 |
|
前提 |
管理员用户正常登录情况下 |
|
测试流程 |
1)管理员密码修改并完成填写。 2)点击进行提交。 |
|
预期结果 |
使用新的密码可以登录 |
|
实际结果 |
实际结果与预期结果一致 |
通过编写家政服务系统系统的测试用例,已经检测完毕用户登录模块、家政服务查看模块、评价信息添加模块、家政服务搜索模块、密码修改功能测试,通过这5大模块为家政服务系统系统的后期推广运营提供了强力的技术支撑。
经过一个学期的毕业设计的实现完成已接近尾声,到目前为止,当我回想起整个学期的系统开发日,收获颇丰。毕业设计的主要任务是建立一个智能化的家政服务系统系统,主要使用微服务架构、Spring Cloud和Mysql数据库的开发工具,对系统的每个功能模块进行相对应的操作,最后,系统调试结果表明系统基本可以满足功能要求。
家政服务系统系统的开发对我大学学习的改进有很大帮助。它使我能够学习计算机知识的相关技术方面问题及与人交往的沟通交流方面,让我意识到无论我们做什么,我们都需要坚持不懈,努力工作,只有这样尝试了并且坚持去做了,我们才可以成功,才可以获得成功的喜悦,如果没有尝试,只是想,那连成功的机会都没有,实际操作进行做了,才会越来越近的靠近成功,随着道路一路向前,未来的路是美好的。
在项目的设计过程中,我克服了各种困难,并且在面对这些困难,我积极的面对,想办法解决问题,并且更好的掌握了理论知识和动手操作实践能力,从系统的开发到设计完成,我完成了一个更全面、更完善、更安全的管理系统,这也让我取得了很大的成就感,也使我对未来的生活更有信心。
- 韦珍娜,陈宇佳.基于Springboot的服装租赁系统设计[J].电脑编程技巧与维护,2025,(01):35-38.DOI:10.16184/j.cnki.comprg.2025.01.005.
- 方志文.基于Java微服务架构的ERP系统设计与实现[J].信息与电脑(理论版),2024,36(15):84-86.
- Badiru B A .Flexible Supply Chain:Industrial Engineering Optimization Modeling of the Postal Service System[M].CRC Press:2024-07-23.
- 李佳颖.基于微服务架构的高可用智慧路灯云平台设计与实现[D].扬州大学,2024.DOI:10.27441/d.cnki.gyzdu.2024.000378.
- 党泽飞.基于微服务架构的数据中台系统设计与实现[D].兰州交通大学,2024.DOI:10.27205/d.cnki.gltec.2024.000160.
- 李启东.微服务架构的在线教育平台设计与实现[J].福建电脑,2024,40(05):97-101.DOI:10.16707/j.cnki.fjpc.2024.05.018.
- 汤鑫,杨贞萍,杨灿,等.基于SpringBoot和Vue的图书馆座位预约系统的设计与实现[J].电脑知识与技术,2024,20(11):87-90.DOI:10.14004/j.cnki.ckt.2024.0519.
- 李宏滨,王凯文.基于深度学习的家政服务推荐系统设计[J].山西电子技术,2024,(02):88-90+96.
- 高远.基于微服务架构的推荐平台实现[D].电子科技大学,2024.DOI:10.27005/d.cnki.gdzku.2024.005329.
- 杜俊,李金忠,何新武,等.基于Spring Cloud微服务架构的非物质文化遗产展示与学习系统的设计与实现[J].广东轻工职业技术学院学报,2024,23(01):14-21.DOI:10.13285/j.cnki.gdqgxb.2024.0003.
- 谢颐,胡黎.基于SpringCloud框架微服务架构的融合媒体云平台设计[J].软件,2024,45(01):134-136+173.
- Talukder S M ,Islam T Q ,Karim Z .Facilitators and inhibitors of attitude and word-of-mouth intention toward adoption of digital municipal service systems: A stimulus-organism-response approach.[J].PloS one,2024,19(12):e0315009.
- 李唯.基于SpringBoot+Mybatis的驾校预约系统设计与实现[J].电脑编程技巧与维护,2022,(03):10-12.DOI:10.16184/j.cnki.comprg.2022.03.003.
- 崔瀚铭.本地生活服务系统的设计与实现[D].南京大学,2021.DOI:10.27235/d.cnki.gnjiu.2021.001271.
- 项俊淇.基于联盟链的大众可信家政服务系统的设计与实现[D].重庆大学,2020.DOI:10.27670/d.cnki.gcqdu.2020.003989.
- 张哲,吴姗姗.基于J2EE的家政共享系统应用研究[J].现代信息科技,2019,3(22):148-149.DOI:10.19850/j.cnki.2096-4706.2019.22.054.
- 田佩鑫.大众互助式家庭服务支持系统的设计与实现[D].重庆大学,2019.DOI:10.27670/d.cnki.gcqdu.2019.002846.
- 单智豪,杨家杰,陈正铭.基于智能语音的家政系统设计与实现[J].电脑编程技巧与维护,2019,(04):126-128+169.DOI:10.16184/j.cnki.comprg.2019.04.044.
- 陈国通,刘琪,范圆圆.基于微信小程序的家政服务预约系统设计与实现[J].信息通信,2019,(02):122-124.
- 杨帆,仁青诺布.基于Android系统的家政服务平台的设计与实现[J].信息与电脑(理论版),2018,(06):89-90.
这次毕业设计能够完成,最重要的就是来自指导老师的帮助,老师不厌其烦的对我的论文及毕业设计提出非常有建设性的建议,我的毕设施能够完成离不开老师的帮助。我对老师由衷的表示感谢,
其次要感谢大学四年里学院里所有的任课老师的教导,老师们在我整个大学四年里给予了我丰富的知识,让我能够在大学中不虚度光阴,踏踏实实的学习,没有这些老师不辞辛劳的教诲,我无法完成这四年的学业。
最后,我要感谢我的家人和同学们。感谢父母在物质与精神上给予我无限的支持和鼓励。感谢我的同学们,在论文写作期间,你们给予了我许多宝贵的建议和帮助,让我在学术研究的道路上不再孤单。
再次感谢所有在我大学生活中给予我帮助和支持的人们。您们的关怀和鼓励将永远铭刻在我的心中,成为我未来前行的动力。
由于自己的水平有限,毕设仍然存在着很大的缺陷,各位老师若提出意见,我会努力改正。
点赞+收藏+关注 → 私信领取本源代码、数据库
更多推荐



所有评论(0)